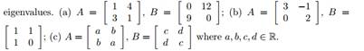
Which pairs of matrices can be simultaneously unitarily triangularized? Which can be simultaneously unitarily diagonalized? Decide without calculating any

100% Original, Plagiarism Free, Customized to your instructions!
Question
Which pairs of matrices can be simultaneously unitarily triangularized? Which can be simultaneously unitarily diagonalized? Decide without calculating any


❖ Zero Plagiarism
❖ On-time delivery
❖ A-Grade Papers
❖ Free Revision
❖ 24/7 Support
❖ 100% Confidentiality
❖ Professional Writers
PLAGIRAISM FREE PAPERS
All papers we provide are well-researched, properly formatted and cited.
TOP QUALITY
All papers we provide are well-researched, properly formatted and cited.
HIGHLY SECURED
All papers we provide are well-researched, properly formatted and cited.
We’ll give you a discount! You get 15% off the full price. Enjoy!